
Keywords: Quasi Two-dimensional Ferromagnetism Antiferromagnetic Phase Diagram Spin-spin Correlation
Note: This article uses the Sine Scientific Instruments OE1022 lock-in amplifier to make measurements.
[Overview]
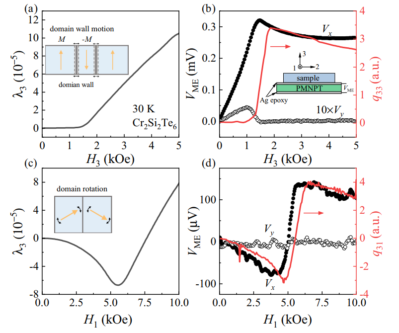
In 2023, Yisheng Chai's team at the School of Physics, Chongqing University, and Sun Yang's team at the Quantum Materials and Devices Research Centre, Chongqing University, published an article in Physical Review entitled "Observation of enhanced ferromagnetic spin-spin correlations at a triple point in quasi-two-dimensional magnets" in Physical Review, which investigates and compares the magnetic field-temperature phase diagrams and spin-spin correlations of quasi-two-dimensional ferromagnetic Cr2Ge2Te6 and Cr2Si2Te6, and antiferromagnetic MnBi2Te4 by a sensitive composite magnetoelectric method. correlations are investigated and compared.The phase diagrams of Cr2Ge2Te6 and Cr2Si2Te6 show the existence of a three-phase coexisting triple focus near the Curie temperature for the H|c-axis and ab-plane configurations. On the contrary, in MnBi2Te4, the presence of a three-phase coexisting triple point was found only for the H|c-axis configuration. Anomalous enhancement of the magnetoelectric signal is observed near the triple focus of Cr2Ge2Te6 and Cr2Si2Te6, indicating a significant enhancement of the ferromagnetic spin-spin correlation at this point.However, for MnBi2Te4, no short-range spin-spin correlation can be found above the Néel temperature.
[Sample & Test]
Single crystals of MBT, CST, and CGT were grown by the flux method, and the quality of CST and CGT crystals was detected by X-ray diffraction. Magnetostriction was detected by an expansion meter using a capacitance bridge (AH2550A, Andeen-Hagerling, Inc.). Temperature and magnetic field environments were provided by a 9 T Dynacool system (Quantum Design, Inc.). In the composite magnetoelectric method, CST, CGT, and MBT were pasted as magnetostrictive phases onto a 0.2 mm thick piezoelectric layer (Fig. b) of single crystals cut in the 0.7Pb(Mg1/3Nb2/3)O3-0.3PbTiO3 (PMN-PT) [001] direction.Ag epoxy (H20E, Epoxy Technology Inc. ) was used as the electrode and strain medium. Prior to electrical measurements, PMN-PT was electrodeposited under an electric field of 550 kV/m. Electrical signals (where and denote in-phase and inverted signals, respectively) of the ME laminates were measured by a Sine Scientific Instruments Lock-in Amplifier (OE1022, from Sine Scientific Instruments) and a commercially available sample bar (MultiField Tech.). The AC magnetic field generated by the Helmholtz coil was Hac = 1 Oe.

[Summary]
This study employs a sensitive composite magneto-electric method for a comprehensive experimental investigation of the magnetic field-temperature phase diagrams and spin-spin correlations of two-dimensional ferromagnetic Cr2Ge2Te6 and Cr2Si2Te6, as well as antiferromagnetic MnBi2Te4. The magnetoelectric signals were significantly enhanced near the ferromagnetic and spin-flip transitions. The study also constructed the phase diagrams of the three compounds and found that there is a triple focus point in the phase diagrams of Cr2Ge2Te6 and Cr2Si2Te6 where the three phases coexist near the Curie temperature. In contrast, in MnBi2Te4 there is only a triple or critical point along the axis H|c in the magnetic field. Most importantly, the study observed the presence of anomalously enhanced magnetoelectric voltages in the attachment of the triple point in Cr2Ge2Te6 and Cr2Si2Te6, suggesting the presence of a significantly enhanced ferromagnetic spin correlation in the vicinity of this point. However, no short-range spin-spin correlation can be found above the Néel temperature.
[Literature]
[Recommended Products]
















