
Keywords: Transportation Measurements Lock-in Amplifier Kagome CsV3Sb5
Note: This article uses the Sine Scientific Instruments OE1022 lock-in amplifier to make measurements.
[Overview]
In 2022, a team of researcher Jun Li from Shanghai University of Science and Technology published an article in Research Square titled "Nonreciprocal Charge Transport in Topological Kagome Superconductor CsV3Sb5", reporting the superconducting CsV3Sb5 sheet in which strong nonreciprocal transport phenomena are reported. The second harmonic voltage, which mainly originates from the rectification effect of the vortex motion, is generated explicitly by the in-plane and out-of-plane magnetic fields, and its amplitude is comparable to that of a noncentrosymmetric superconductor. The second harmonic magnetoresistance splits into several peaks, some of which invert their sign by tilting the magnetic field or current within the superconducting transition. The vortex dynamics of the special nonreciprocal transport phenomenon is dominated by unconventional superconducting pairing symmetries, providing a promising avenue for exploring possible topological superconductivity in CsV3Sb5.
[Sample & Test]
Transmission measurements were made in PPMS. Four-terminal DC and AC signals were measured by the Keithley 2400 and 2182a sets and the Keithley 6221 and OE1022 lock-in amplifier sets, respectively. The primary and second harmonic resistances were defined as Rω = V ω/I0 and R2ω = V2ω/I0, where I0 is the amplitude is the amplitude of the applied AC current, and the primary and second harmonic voltages of Vω and V. The current frequency was set to 113 Hz to minimize noise and the phase of the second harmonic signal was set to π/2. The phase of the second harmonic signals was set to π/2.

Fig. 1 Superconducting characterization. (a) CsV3Sb5 crystal structure. (b) Optical image of the sample covered with h-BN. (c) Normalized resistance as a function of temperature for different thicknesses. (d) Temperature dependence of Hall resistance (red) and differential resistance (blue) for 80 nm thick sample.

Fig. 2.(a) (b) R - T curves of the first (top) and second (bottom) harmonic signals under B applied along the ab-plane and c-axis, respectively. The dashed line is a guide to the onset temperature of the second harmonic signal. (C) Transition region of the B = 0.1T lower-T curve. The red dashed line is the Aslamazov-Larkin fitted curve for the cis-conducting contribution

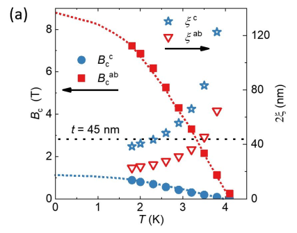
Fig. 3 Relationship between magnetic field and temperature.


Fig. 4 Coherence length and nonlinear coefficients.

Fig. 5 Current dependence on non-reciprocity.
[Summary]
We study nonreciprocal transport in superconducting CsV3Sb5 sheets. As the crystal thickness decreases, we find that superconductivity is first enhanced and then suppressed with competition with CDW. When superconductivity occurs, a strong nonreciprocal signal can be detected with an intensity comparable to that of artificially structured or noncentrosymmetric superconductors. The second harmonic resistance can be observed as a magnetic field along the ab-plane and c-axis, which can essentially be attributed to vortex ratchet motion. The nonreciprocal signal with respect to the magnetic field splits into a series of several peaks that are asymmetric with respect to the magnetic field. The nonreciprocity in the cis-conducting region can reflect the intrinsic nature of superconductivity. We suggest that topological bands and surface states that break the inversion symmetry may induce magnetic chirality in CsV3Sb5 superconductors.
[References]
[Recommended Products]

















